Some Examples of esters
1. Oil of Wintergreen

2. Aspirin

3. Triglyceride (glycerol ester with long chain fatty acids (palmitic 16C))

4. Internal Esters - Lactones
a. Internal esters given a special name-lactones
b. Example Vitamin C (ascorbate)

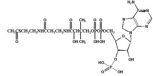
THIOLESTERS - (sulfur containing)
A. General Thioester structure

B. Example-Acetyl CoA an extremely important biological thioester

Acetyl Coenzyme A (Acetyl-S-CoA)
Abbreviate as
